Algoritmi abc - FOR petlja

Redni broj kviza: 1

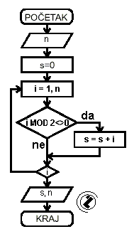
    abc Algoritmi Na osnovu algoritamske šeme koji odgovor je tacan
Pomnožiti neparnih prirodnih brojeva od 1 do n.
Suma neparnih prirodnih brojeva od 1 do n.
Prebrojati neparnih prirodnih brojeva od 1 do n.
Ispisati neparnih prirodnih brojeva od 1 do n.