Algoritmi abc - REPEAT petlja

Redni broj testa: 1

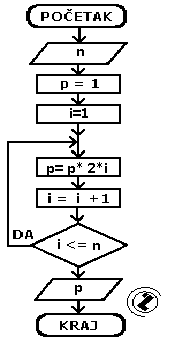
Na osnovu algoritamske šeme koji odgovor je tačan
Proizvod dvostrukih vrijednosti prirodnih do 8 brojeva.
Proizvod dvostrukih vrijednosti neparnih od 3 do 8 brojeva.
Proizvod dvostrukih vrijednosti prirodnih od 3 do 8 brojeva.
Proizvod dvostrukih vrijednosti parnih od 3 do 8 brojeva.